hy
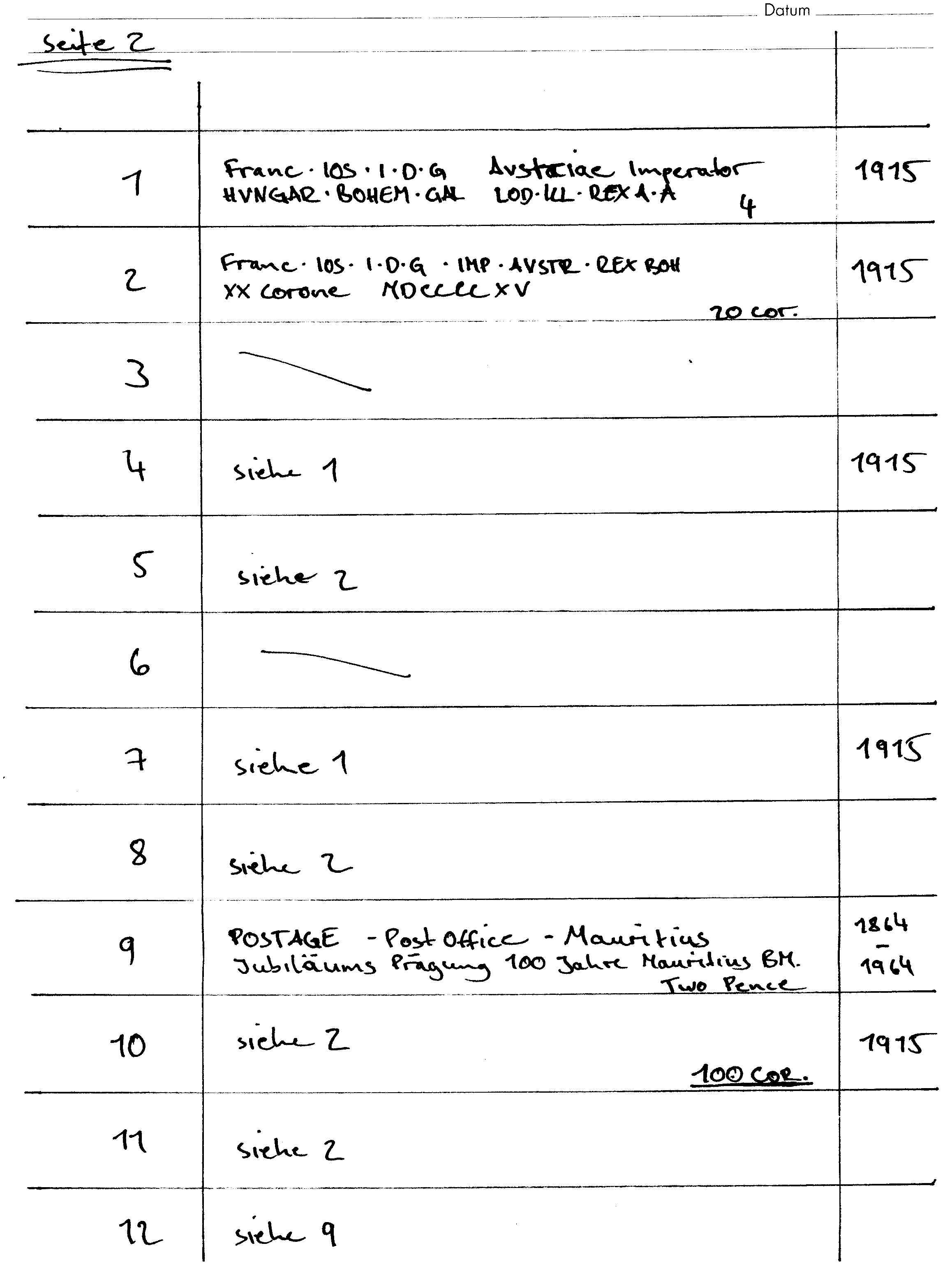
mein opa möchte seine goldmünzen verkaufen ( 31 Münzen ), da ihr mir bei meinen briefmarken schon oft geholfen habt ist das hier meine erste anlaufstelle. habe eine liste gemacht und würde gern eine ungefähre einschätzung haben ob gegeehrte stücke dabei sind. Mein opa wollte sie schon an die bank verkaufen, aber das wäre glaube ich schade da manche stücke wirklich interessant aussehen.
Könnte jemand sich vielleicht mal die liste anschauen ob dort interessante stücke bei sind ? habe leider kein katalog über münzen, daher die frage.