1. Dashboard
  2. zum Forum
    1. Unerledigte Themen
  3. Mitglieder
    1. Letzte Aktivitäten
    2. Benutzer online
    3. Team
    4. Mitgliedersuche
  4. Ratgeber
  5. Hilfe
  • Anmelden oder registrieren
  • Suche
Dieses Thema
  • Alles
  • Dieses Thema
  • Dieses Forum
  • Artikel
  • Forum
  • Seiten
  • Erweiterte Suche
  1. PHILAFORUM.COM Briefmarkenforum
  2. Forum
  3. Briefmarken
  4. Deutschland
  5. Altdeutschland

Preussen - Russland

  • Michael D
  • 19. Oktober 2009 um 16:48
  • Lacplesis
    Stamm Mitglied
    Beiträge
    2.763
    Geschlecht
    Männlich
    Geburtstag
    14. Oktober 1967 (58)
    • 8. September 2010 um 10:00
    • #281

    Ich schmeiße das mal hier mit rein:

    Meine US-Kollegen (genau wie ich...) kommen mit diesem Beleg nicht weiter. Wer traut sich an eine Analyse? Grodno nach Apples/Schweiz, 1849:

    Bilder

    • Prefrim, forside, Grodno til Sveits.jpg
      • 380,81 kB
      • 1.598 × 1.216
      • 913
    • Prefrim, bakside, Grodno til Sveits.jpg
      • 459,26 kB
      • 945 × 738
      • 869

    Ich mag verdammen, was du sagst, aber ich werde mein Leben dafür einsetzen, dass du es sagen darfst.

    Voltaire

    Einmal editiert, zuletzt von Lacplesis (8. September 2010 um 12:02)

  • bayern klassisch
    Gast
    • 8. September 2010 um 11:04
    • #282

    Lieber Michael,

    danke für die Aufklärung zu dem PV zwischen Preußen und Rußland von 1821, den ich leider nicht habe. Es ist schon interessant, dass die sonst so peniblen Preußen Rundungen in dieser Größenordnung vornahmen.

    Von daher hast du natürlich Recht - so könnte es gewesen sein.

    Mein Problem damit ist nur, dass in Bayern und Württemberg (und vermutlich auch Baden etc.) diesen Vertrag keiner kannte und dort immer in Münchner = Wiener Halblothschritten gewogen und frankiert wurde.

    Leider habe ich derlei Briefe nicht zuhauf, sonst könnte ich nachsehen, wie die Masse gewogen und tarifiert wurde. Aber ich werde ein Auge darauf halten (Sindelfingen). ;)

    Ob ich die Liste des PV habe, muss ich zu Hause eruieren. Ich gebe dann Laut.

    Ein Brief mit einer offensichtlich falschen Taxierung/Frankierung konnte auf 2 Arten begradigt werden:

    1) Es fiel einem Kartierungsamt auf. Dann wurde das Franko (zuwenig erhoben) berichtigt, indem man den Brief an die Aufgabepost zurück sandte mit der Bitte um Erhebung der treffenden Gebühr. Diese Fälle kenne ich und sie sind sehr selten.

    Bei dem Ansatz eines zu geringen Portos wurde dieses auf das richtige Maß erhöht und die Briefkarte bzw. die Attestkarte (vor 1854) korrigiert, der Brief aber ungesäumt weiter geleitet. Auch diese Fälle kenne ich und sie sind recht selten.

    2) Wurde weder von der Aufgabe-, Transit- bzw. Abgabepost ein Mangel der Taxierung oder des Frankos bemerkt, dann tat sich zuerst einmal gar nichts.

    Die Revisoren der Ämter, die alle Postakten zugesandt bekamen (monatlich, quartiell, nach Semestern oder jährlich, je nachdem, wie es zwischen den Postverwaltungen vereinbart worden war), verglichen die Angaben in den Brief- bzw. Attestkarten mit den Gebühren der Verträge und konnten, wenn sie fündig wurden, noch 5 Jahre nach der Aufgabe der Postsendung (Brief- und Fahrpost) über einen Frankodefekt die fehlenden Gebühren einziehen lassen.

    Hierbei wurde das "schuldige" Amt ausgemittelt und dieses mit dem Defekt beschickt. Teils in Auslage, so dass z. B. die Aufgabepost mit dem fehlenden Franko direkt belastet wurde und sie sich dort beim ehemaligen Absender dieses wieder holen musste (bis in die 50er Jahre in Bayern mit dem Ausland praktiziert), oder, wie ich es aus den 70er Jahren kenne, der Frankodefekt wurde als Postsache portofrei an die Aufgabepost gesandt mit der Bitte um Korrektur und Überweisung des Betrages per Dienstpostanweisung an das zuständige Oberpostamt.
    Eine derartige Dienstpostanweisung habe ich mal gesehen.

    Auf den Poststücken selbst wird man also nur im Fall zu 1) überhaupt sehen können, dass etwas korrigiert wurde.

    Die Fälle zu 2) zeigen Poststücke, die ohne jedes Anzeichen der späteren Bearbeitung verblieben sind; sie waren auch nicht mehr wichtig, weil die Daten ja individuell in den Briefkarten festgehalten waren und man des Originalbelegs daher nicht bedurfte.

    Hallo Lacpesis,

    ich werde versuchen, wenn es heute Zeit gibt, das Rätsel zu lösen - sicher hier zu lösen ist aber keine leichte Aufgabe.

    Liebe Grüsse von bayern klassisch

  • bayern klassisch
    Gast
    • 8. September 2010 um 15:08
    • #283

    Lieber Michael,

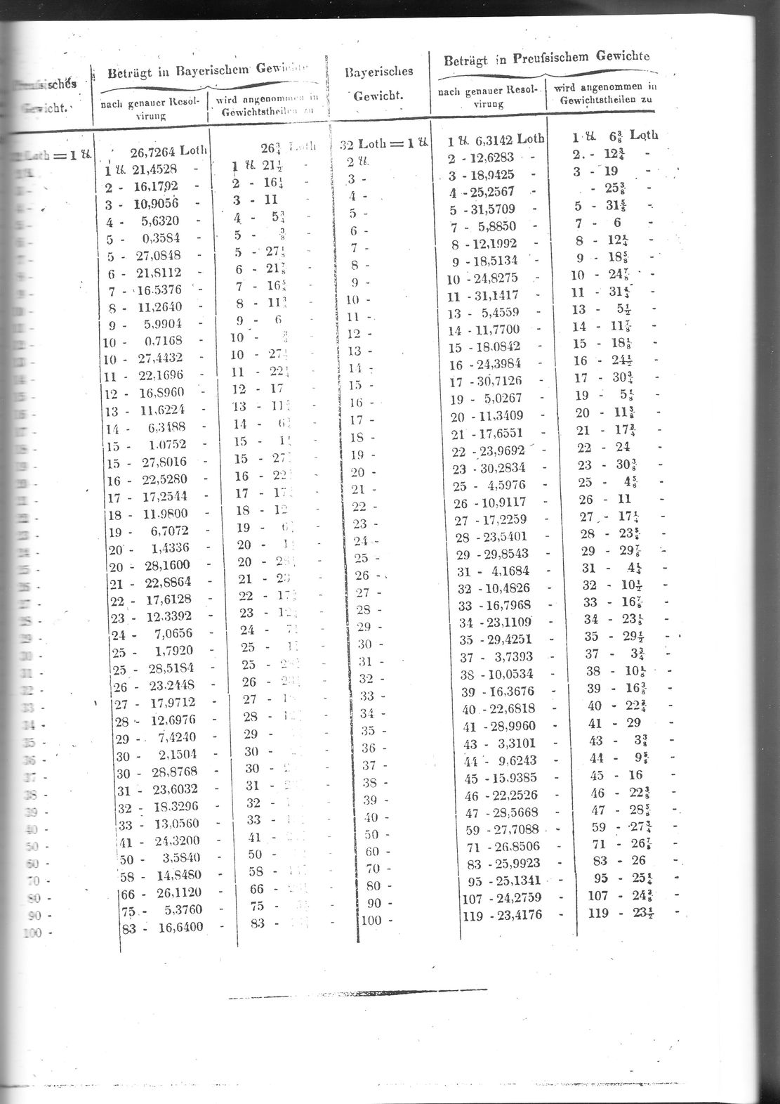
    unter Litt. C fand ich folgendes, was ich leider nicht besser scannen kann.

    Wenn du etwas nicht gut lesen kannst, bitte per PN nachfragen.

    Liebe Grüsse von bayern klassisch

    Bilder

    • IMG.jpg
      • 184,44 kB
      • 1.111 × 1.571
      • 457
    • IMG_0001.jpg
      • 233,12 kB
      • 1.111 × 1.571
      • 463
    • IMG_0002.jpg
      • 233,47 kB
      • 1.111 × 1.571
      • 438
  • Michael D
    Stamm Mitglied
    Beiträge
    1.017
    Geschlecht
    Männlich
    Geburtstag
    5. August
    • 9. September 2010 um 07:10
    • #284

    Lieber bayern klassisch,

    vielen Dank für deine ausführliche Beschreibung und die Tabellen !

    Zitat

    Mein Problem damit ist nur, dass in Bayern und Württemberg (und vermutlich auch Baden etc.) diesen Vertrag keiner kannte und dort immer in Münchner = Wiener Halblothschritten gewogen und frankiert wurde.

    Diese Probleme gingen mir auch durch den Kopf. Die württembergischen u.a. Beamten müssen eine Dienstinstruktion für die Taxierung der Korrespondenz nach Russland gehabt haben, evtl. war hier auch eine gewichtstabelle enthalten ?
    Liest hier ein Württemberg-Sammler mit ?

    Zitat

    Die Revisoren der Ämter, die alle Postakten zugesandt bekamen ...

    Verstehe ich dich richtig, dass Frankodefektzettel nur von diesen übergeordneten Postämtern ausgestellt wurden ?

    Viele Grüße
    Michael

    Preußen und Transite

  • Michael D
    Stamm Mitglied
    Beiträge
    1.017
    Geschlecht
    Männlich
    Geburtstag
    5. August
    • 9. September 2010 um 07:32
    • #285

    Hallo Lacplesis,

    das ist aber eine richtige Nuss ...

    Hier der Versuch einer ersten Annäherung (ohne Unterlagen).

    Der Zielort Apples gehörte zum Kanton Waadt. Daher müsste der Leitweg Tilsit - Berlin - Hof - Bayern (geschlossener Transit) - Baden - Schweiz gewesen sein.
    In dieser Hinsicht passt der OP-Stempel auf den Brief.
    Der AUS RUSSLAND / FRANCO-TOUT-Stempel stammt aus Tilsit.

    Das Problem ist, es dürften nicht beide Stempel auf einem Brief sein. Der badische OP-Stempel gehört zu Portobriefen, der preußische Stempel zu Frankobriefen.
    Also liegt hier schon mal ein Stemeplfehler vor.

    Wenn es ein Frankobrief war, müsste u.a. die preußische Forderung von 6 Sgr. (preußisches Transitporto) und das vertragliche vereinbarte Weiterfranko für Schweizbriefe von 7 Sgr. auftauchen.
    Die 6 Sgr. finde ich rückseitig (gestrichen), die 7 Sgr. auch (allerdings nicht gestrichen). Die aufsummierten 13 Sgr. stehen vorderseitig rechts oben, allerdings mit einer völlig untypischen schwarzen Tinte.
    Aber unabhängig davon, schrieb Baden sein Transitporto von 12 Kr. auf. Hier finden wir nur eine 24 in Rötel. Fiel der Brief hier schon in die 2.Gewichtsstufe ? (NB: Die rückseitige 12 halte ich nicht für eine badische Notierung)
    Die 3 Zahlen links unten wurden aufsummiert zu der 4.Zahl 31 1/2. Hier müsste es sich um die schweizer Taxen handeln.

    Für einen Portobrief fehlen die russisch/preußischen Forderungen: 3 1/4 Sgr. russ. und 6 Sgr. preuss. Porto. die aufsummierten 9 1/4 Sgr. entdecke ich nicht. Auch die hieraus resultierenden 33 Kreuzer tauchen nicht auf.

    Im Moment würde ich den Brief daher tatsächlich für einen Frankobrief halten.
    Kann jemand die Notierungen oben links und unten links (neben den 3 Taxen) entziffern ?

    Weitere Überlegungen, wenn ich mal in meine Unterlagen geschaut habe.

    Viele Grüße
    Michael

    Preußen und Transite

    Einmal editiert, zuletzt von Michael D (9. September 2010 um 07:34)

  • bayern klassisch
    Gast
    • 9. September 2010 um 07:43
    • #286

    Lieber Michael,

    der liebe VorphilaBayern ist ein kompetenter Württemberg - Sammler; wenn es einer weiß, dann er. Vlt. zeigt er uns auch ein paar WÜ - Rußland - Briefe franko und porto, damit wir die fragliche Zeit besser nachvollziehen können.

    Die Ausfertigung von Frankodefekten, die übrigens auch im PV Bayern - Preußen vom 1.4.1835 explizit angesprochen wurde, konnte nur von Ämtern ausgeführt werden, denen Erkenntnisse über solche Fehlleistungen vorlagen. Das waren die Grenzämter (z. B. Hof, Halle, Berlin usw.) und die Kartenschlußämter (oft deckungsgleich, aber nicht immer).

    Eine fehlfrankierte Sendung von Kaiserslautern über Kreuznach nach Neuwied hätte folglich nur in Kreuznach im Transit bzw. später bei der Revision in Speyer bzw. in Koblenz auffallen können.

    Liebe Grüsse von bayern klassisch

  • bayern klassisch
    Gast
    • 9. September 2010 um 07:51
    • #287

    Lieber Michael,

    es war todsicher ein Frankobrief, weil:

    1) Der Franco - Tout - Stempel von Preußen eindeutig ist,

    2) auf der Adressseite links unten die bezahlten Gebühren aufgelistet wurden,

    3) Baden hinten seine 12 Kr. notierte, die es für den Transit zu erhalten hatte, gleichzeitig

    4) das Weiterfranko für Baden und die Schweiz vorne mit 24 Kr. rheinisch ausgeworfen wurden und letztlich

    5) der Empfänger in der CH nichts zahlen musste, so dass auch die CH ihre Gebühren (12 Kr.) erhalten hatte.

    Stempel wie W.P. und O.P. kommen auch auf Frankobriefen vor. Sie sollten dann die Leitung über Baden dokumentieren, denn eine alternative Leitung über Bayern gab es ja auch noch für Briefe in die Ostschweiz ... ;)

    Liebe Grüsse von bayern klassisch

  • Lacplesis
    Stamm Mitglied
    Beiträge
    2.763
    Geschlecht
    Männlich
    Geburtstag
    14. Oktober 1967 (58)
    • 9. September 2010 um 10:05
    • #288
    Zitat

    Original von Michael D
    Hallo Lacplesis,

    das ist aber eine richtige Nuss ...

    Weitere Überlegungen, wenn ich mal in meine Unterlagen geschaut habe.

    Viele Grüße
    Michael

    Mit etwas profanem würde ich euch doch gar nicht erst behelligen! :D ;)

    Ich bin sehr gespannt, was der Beleg noch hergibt!

    Ich mag verdammen, was du sagst, aber ich werde mein Leben dafür einsetzen, dass du es sagen darfst.

    Voltaire

  • Michael D
    Stamm Mitglied
    Beiträge
    1.017
    Geschlecht
    Männlich
    Geburtstag
    5. August
    • 9. September 2010 um 18:20
    • #289

    Lieber bayern klassisch,

    danke für die ergänzenden Infos.


    Hallo Lacplesis,

    was ich jetzt noch nachliefern kann:

    Der Leitweg etwas genauer aufgeschlüsselt, müsste so gewesen sein:
    Tilsit-Berlin-Magdeburg-Würzburg-Heidelberg.
    Letztgenannte Stadt war 1849 einziges Austauschamt in Baden für diese Post.

    Die vorderseitigen 24 (Rötelnotierung) können gut badisches + schweizerisches Weiterfranko sein.


    Viele Grüße
    Michael

    1849 wurde noch nicht in Rappen gerechnet.

    Preußen und Transite

    Einmal editiert, zuletzt von Michael D (13. September 2010 um 07:31)

  • senziger
    aktives Mitglied
    Beiträge
    176
    Geschlecht
    Männlich
    Geburtstag
    27. Juni 1962 (63)
    • 18. September 2010 um 18:11
    • #290

    Hallo,

    hier ein Porto- Brief vom 20.10.1853 vom preussischen Postamt in Hamburg über St. Petersburg nach Helsingfors.
    Von Preussen zunächst mit 3 Sgr bis zur Grenze taxiert, dann merkte man, dass es ein doppelt schwerer Brief war, strich die 3 und schrieb 6 Sgr.
    Wer kann was zu den Notierungen auf der Siegelseite sagen? Wie ging es in Russland weiter?

    Gruß

    senziger

    Bilder

    • img181.jpg
      • 250,98 kB
      • 1.908 × 1.296
      • 400
    • img182.jpg
      • 199,53 kB
      • 1.872 × 1.302
      • 399
  • bayern klassisch
    Gast
    • 18. September 2010 um 18:37
    • #291

    Hallo senziger,

    6 Sgr. waren 20 Kopeken. Also waren 12 Sgr. 40 Kopeken, die der Empfänger zahlen musste (je Tarifgebiet 3 Sgr. bzw. 10 Kopeken bis 1 Loth).

    Schönes Stück!!

    Liebe Grüsse von bayern klassisch

  • bayern klassisch
    Gast
    • 29. September 2010 um 12:24
    • #292

    Liebe Sammlerfreunde,

    eben habe ich das Pendant eines Briefes aus gleicher Korrespondenz wie dem von 1851 mit Muster ohne Wert erhalten, worüber ich mich sehr freue. :P:)

    Er wurde in Ludwigsburg am 20.7.1844 geschrieben und am Folgetag zur Post gebracht. Der Absender frankierte für alle 4 beteiligten Postgebiete siegelseitig folgendes:

    4 + 2 = 6 Kr. für Württemberg über 1/2 bis 1 Loth (8,75 - 17,5g),
    8 + 4 = 12 Kr. für Bayern dito,
    1 Gulden 12 Kr. (48 + 24 Kr. = 72 Kr.) für Preußen als Transitdienstleister und
    12 Kr. für Rußland.

    Demnach hätte man ihn nur in Rußland als einfach angesehen und nach den Rundungen, die der liebe Michael nannte, war er dort bis 1 1/4 Loth noch einfach.

    Vorderseitig wurden die Gebühren in Silbergroschen wiederholt: 3 1/4 Sgr. für Rußland als Weiterfranko und 20 1/2 Sgr. für Preußen, welches damit nicht schlecht verdient hatte. :D

    Der Ovalstempel "Bayern" wurde in Berlin am 28.7. angebracht.

    Über weitere Kommentare freut sich bayern klassisch

    Bilder

    • IMG.jpg
      • 394,11 kB
      • 2.681 × 997
      • 354

    Einmal editiert, zuletzt von bayern klassisch (29. September 2010 um 13:36)

  • liball
    neues Mitglied
    Beiträge
    72
    Geschlecht
    Männlich
    • 29. September 2010 um 17:44
    • #293

    Hallo bayern klassisch,

    ein schöner Brief. Nur wie in Württemberg das preußische Transitporto berechnet wurde, ist mir schleierhaft.
    Nach dem Postvertrag zwischen Preußen und Russland von 1843 hätte das preußische Transitporto für einen einfachen Brief bis 1 Loth aus Württemberg 8 Sgr. (28 Kr.) betragen. Bis 1 1/2 Loth wären 12 Sgr. oder 42 Kr. fällig gewesen. 72 Kr. hätten für einen Brief von 2 bis 2 1/2 Loth gereicht.
    Nach meinen Unterlagen galt der russische Portosatz von 10 Kopeken nur bis 1 Loth. Ein Brief bis 1 1/2 Loth hätte 15 Kopeken gekostet, somit 4 1/2 oder 5 Sgr.
    Doch diese Ungereimtheiten machen den Brief nur noch interessanter.

    Grüsse
    liball

  • bayern klassisch
    Gast
    • 29. September 2010 um 17:53
    • #294

    Hallo liball,

    danke für dein Statement - die siegelseitigen Angaben in Rötel deuten sehr auf die Taxispost in Württemberg hin.

    Preußen hat sie auch übernommen und Rußland - offensichtlich - nichts nachgefordert. Demnach gibt es auch hier Unterschiede zwischen der Taxierung und den vertraglich bekannten Grundlagen, wie bei meinem 1. Brief mit dem Muster auch.

    Du hast natürlich Recht - das macht ihn nur noch begehrenswerter. :)

    Vlt. finden sich noch (Preußen?), die in den Verträgen kramen oder die unterschiedlichen Gepflogenheiten kennen? Oder gar Rußlandkenner? :jaok:

    Liebe Grüsse von bayern klassisch

  • Bayern-Nils
    Stamm Mitglied
    Beiträge
    2.482
    Geschlecht
    Männlich
    Geburtstag
    29. April 1962 (63)
    • 29. September 2010 um 17:53
    • #295

    Hallo bayern klassisch

    Zu diesem Brief wage ich nichts zu sagen ausser herzlichen Glückwünsche. :) :P

    Ein sehr interessanter Brief der ich vielleicht nächstes Jahr ein Bisschen verstehen will.
    Danke fürs Zeigen

    Viele Grüsse
    Nils

    NEH

  • bayern klassisch
    Gast
    • 29. September 2010 um 18:01
    • #296

    Hallo Nils,

    laß dir Zeit, das Forum wird es noch länger geben. ;)

    Was sonderbar ist: Die meisten Briefe von Württemberg nach Rußland sind problematisch; umgekehrt nicht!

    Vlt. zeigt uns liball mal ein paar Rosinen aus seiner herrlichen Sammlung hier?

    Liebe Grüsse von bayern klassisch

  • Michael D
    Stamm Mitglied
    Beiträge
    1.017
    Geschlecht
    Männlich
    Geburtstag
    5. August
    • 29. September 2010 um 19:37
    • #297

    Lieber bayern klassisch,

    herzlichen Glückwunsch zu diesem Sahnestück ! :) :P

    Die von Taxis vorgenommene Taxierung für Preußen ist allerdings ein Rätsel.
    Auch wenn ich momentan keinen Zugriff auf meine Unterlagen habe, glaube ich nicht, eine vernünftige Erklärung dafür hinzubekommen.

    Eine Idee, wie es gewesen sein könnte:
    Für Württemberg, Bayern und Russland wurde die 2. Gewichtsstufe angesetzt.
    In Unkenntnis, wie die konkreten Tabellen für den Taxis-Beamten in Ludwigsburg aussahen, kann ich mir vorstellen, dass der Beamte vielleicht bei Preußen die falsche Spalte ausgesucht hat: Statt 2. Gewichtsstufe nahm er die Spalte 2 Loth und trug diesen Wert ein.
    Der unkundige Absender wunderte sich und zahlte.
    Bayern wars egal, da Durchlaufposten.
    Preußen war hoch erfreut, taxierte brav das rückseitig angeschriebene vorderseitig in Sgr. um und kassierte. Und vergrößerte den Gewinn, indem für Russland vertragsgemäß der 1-fache Satz notiert wurde ;).
    Für Russland war wieder alles normal und i.O.

    Wie gesagt, nur eine Spekulation ...

    Viele Grüße und danke fürs Zeigen
    Michael

    Preußen und Transite

    Einmal editiert, zuletzt von Michael D (8. Oktober 2010 um 09:08)

  • peterhz
    aktives Mitglied
    Beiträge
    441
    Geschlecht
    Männlich
    • 4. Oktober 2010 um 20:33
    • #298

    Hallo zusammen,

    aus einer Laune heraus habe ich mir diesen Brief gekauft. Er war nicht teuer und ich fand den Brief mit den vielen Stempel recht ansehnlich.

    Brief aus Moskau nach Köln vom 08.05.1854

    schönen Gruss

    Peter

  • Michael D
    Stamm Mitglied
    Beiträge
    1.017
    Geschlecht
    Männlich
    Geburtstag
    5. August
    • 8. Oktober 2010 um 09:13
    • #299

    Hallo Peter,

    ein schöner Brief, den ich auch genommen hätte. :)

    Wie der rückseitige Kursstempel zeigt, stammt dein Brief aus der Zeit, als die durchgehende Eisenbahnverbindung Königsberg-Bromberg noch nicht fertiggestellt war. Bei Marienburg war erstmal Schluß und die Post wurde auf Kutschen umgeladen und über die Weichselarme befördert. Bei Dirschau ging es dann mit der Bahn weiter Richtung Bromberg.
    Der L1-Herkunftsstempel Aus Russland stammt von dem ambulanten Eisenbahnpostbüro 12.
    Das preußische Weiterfranko von 3 Sgr. ist vorderseitig notiert.

    Viele Grüße
    Michael

    Preußen und Transite

  • Michael D
    Stamm Mitglied
    Beiträge
    1.017
    Geschlecht
    Männlich
    Geburtstag
    5. August
    • 12. Oktober 2010 um 19:42
    • #300

    Liebe Sammlerfreunde,

    der folgende Brief aus dem Jahre 1858 weist die ungewöhnlich hohe Frankatur von 2 Fr. 20 C. auf.
    Aufgegeben am 25. August in Paris (schwarzer K1 und PD-Stempel), erreichte er einen Tag später Preußen (FRANCO AUS FRANKREICH PER AACHEN) und am 1. September St. Petersburg (rs. K1).

    Ausweislich des notierten Weiterfrankos von 3 Sgr. wurde der Brief in Preußen als 1-fach schwer taxiert.

    Kann jemand den innerfranzösischen Portoanteil aufschlüsseln ? Fiel der Brief hier schon in die 3. Gewichtsstufe ?


    Viele Grüße
    Michael

    Preußen und Transite

    2 Mal editiert, zuletzt von Michael D (13. Oktober 2010 um 06:57)

Registrierung

Sie haben noch kein Benutzerkonto auf unserer Seite? Registrieren Sie sich kostenlos und nehmen Sie an unserer Community teil!

Benutzerkonto erstellen
  1. Datenschutzerklärung
  2. Impressum
  3. Kontakt

Partnerprogramm / Affiliate Disclaimer

Als Amazon-Partner verdiene ich an qualifizierten Verkäufen. Mit * markierte Links sind Affiliate-Links (Werbung). Nur auf diese Weise können wir dieses großartige Forum finanzieren, wir bitten um euer Verständnis!

Community-Software: WoltLab Suite™